Good day Reader, do you think RNA is inherently unstable?
That’s what we’re often told. But who has actually checked whether it’s true...
Today we’re going to talk about the stability of DNA and RNA.
Not least because it affects how you store them and, in turn, how much energy you use. Let’s dive in:
Today's Lesson: Stability of DNA & RNA
Assessing how we should treat our samples
Number Of The Day
The spontaneous hydrolysis rate of RNA under basic conditions (pH=12, 23°C) is around 0.00006 cuts per minute. In essence, that translates to a half life of 8 days, meaning that degradation of RNA and DNA under normal conditions is much slower than we usually assume. However, it also means that the longer your RNA (or DNA) is, the more easily it degrades. Still, which other factors play a role here? Let's see how stable our genetic material actually is:
0.00006
Unraveling Sustainability Claims
We are often told that RNA is inherently unstable. However, this statement is not true.
The issue is that several companies have produced products that enhance RNA stability for long-term storage1,2 and therefore claim in online blogs that RNA is highly fragile.
Click to enlarge - I don’t know who wrote this, but it’s quite funny. The microorganisms in the air also always gave me a headache when I worked with RNA :D
However, also in the academic literature we find such claims³,⁴. But what is often left out is that they have a clear framing.
These claims apply under basic conditions.
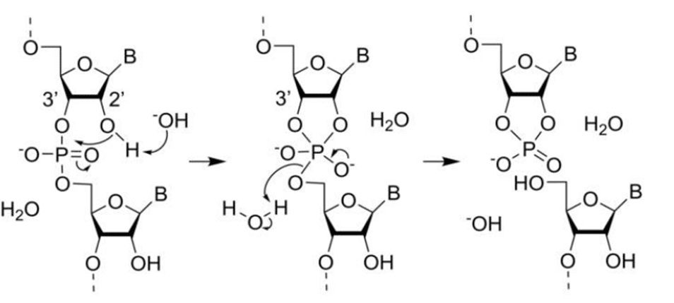
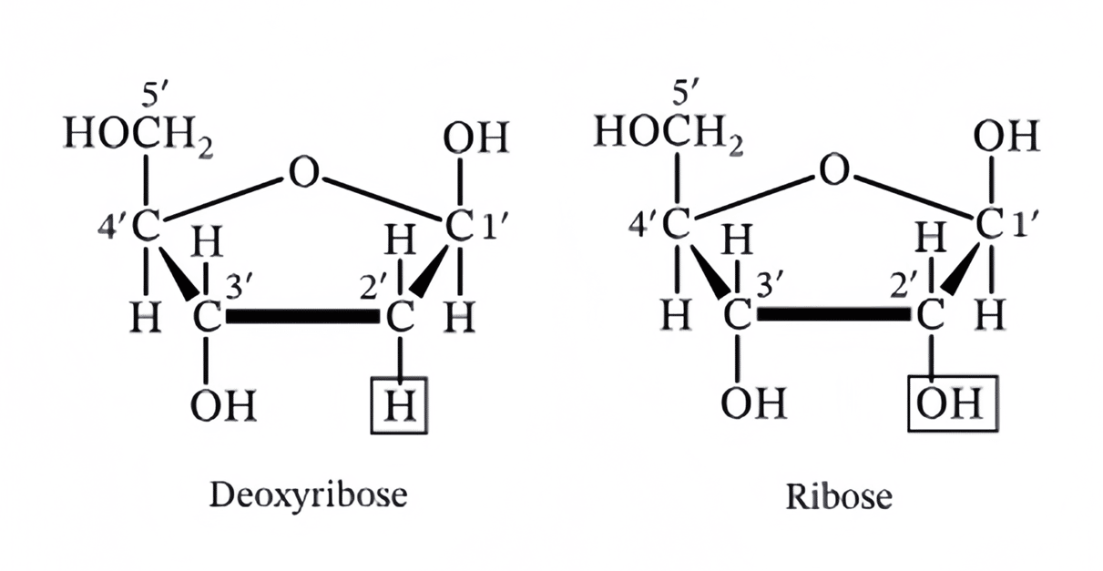
The point here is that the main RNA degradation mechanism in solution is hydrolysis. This happens due to the free 2’-OH group⁴,⁵.
This is also the reason why DNA is more stable, as it only carries a hydrogen atom at this position.
Disadvantageous Conditions
At high pH, we therefore see a 18% loss for short and >60% degradation for longer strands after one hour. This is if you work at pH 12, i.e., something you will never do.
Zhang et al. showing RNA loss (initial concentration = 25 ng/μL) in solutions containing 20 mM NaCl and 3 mM phosphate at pH 12.0 and 24 °C measured by agarose gel electrophoresis. Reactions were ended by adjusting the sample to neutral pH. Two independent samples were prepared for each time point. In the second panel: the RNA loss (initial concentration = 1 ng/μL) in identical solutions as the above analyzed by RT-qPCR.
Also, at high temperatures around 60 °C, RNA shows a half-life of around 0.6 days⁶, with higher temperatures (e.g., 90 °C) degrading even crude RNA somewhat faster⁷.
Studies assess these conditions as “accelerated ageing” because RNA is too stable at RT to show significant degradation within a short time period.
And another risk is RNases. These can also cut your RNA concentration in half after just one hour5.
Analysis of 1006 nt ssRNA by agarose gel electrophoresis after incubation at 24 °C for 1 h.The RNA hydrolysis reaction (20 μL) contained 25.0 ng/μL RNA, 20 mM NaCl, and a 3 mM buffer salt (MOPS for pH 7.0−8.0, borate for pH 9.0, bicarbonate for pH 10.0−11.0, and phosphate for pH 12.0−12.4). Human saliva RNase was diluted 400-fold.
But what if we work under conditions that we normally find in the lab? That means RNase-free, at non-basic pH, and at room temperature (RT)?
Assessing Common Conditions
Little data exists due to the inherent stability of RNA!
At RT and normal pH there are probably other mechanisms competing for degradation with hydrolysis. Extrapolations speak of a half-life of RNA at RT of over 100 days⁶.
Data from Chhedaetal.,depicting natural logarithm of rate constant (ln (k)) vs inverse of temperature (1/T in Kelvin). First order rate constants (k) were calculated using the concentration in moles/mL which were deduced by assuming a molecular weight per nucleotide in RNA to be 320.5 g/mol. CD measurement was conducted after 4 days.
A non peer-reviewed company data indicates that if stored at RT after 2 weeks significant degradation has occurred but RNA is still visible on a gel¹⁸.
Indeed, even within cells, where RNases could be a problem, RT handling of over an hour does not significantly threaten RNA quality⁸,⁹,¹⁰,¹¹, with an expected half-life of mRNA of over 16 h¹¹.
Of course, within cells RNAs are often 5’-cap and poly-A-tail protected.
But given the RNase-free environments one normally works in, the absence or presence of those should not make a big difference ex vivo⁶ (and more about these modifications can be found in¹²).
Interestingly, structured or especially dsRNA enhances its stability dramatically⁵.
Still, high concentrations of ions such as Mg²⁺ can promote degradation. However, this can be quenched with EDTA or citrate¹³.
All in all, this means you do not have to worry about your RNA if it remains at RT for a few minutes or even a few hours.
However, for long-term storage, lower temperatures are preferable.
Association between the difference in RNA quantity (2011 μg /tube minus 2018 μg /tube) and length of storage time. The negative slope implies that the difference between 2011 and 2018 increased with storage time, with the 2018 quantity increasing over time. Data by Stephenson et al.
While some reports mention storage at −20 °C as sufficient¹⁴,¹⁵, a solid case can be made to prefer −70 °C, as even at these lower temperatures degradation can be noticeable after a few years (although not enough to cause failure of experiments)16,17.
DNA Stability
DNA doesn’t have a 2’-OH group, which makes it more stable. Moreover, its ds nature enhances stability further.
You can read more about DNA structure at nagwa.com.
As a result, even reviews do not list publications on the stability of DNA at RT for hours or days¹⁹,²⁰.
That means isolated DNA seems to be stable for at least one week at RT²¹ and a non–peer-reviewed company post indicated that their DNA was stable for several weeks, which aligns with anecdotal information (e.g., Reddit)22,23.
I wouldn’t always trust Reddit, but for many pragmatic research questions it can be quite useful. However, take comments with a grain of salt, as people like to exaggerate.
An old paper indicated that DNA was usable even from tissue stored at temperatures above RT²⁴.
In fact, the biggest threat to DNA is vortexing or unnecessary frequent pipetting, as shear forces lead to fragmentation²⁰.
DNA Storage
When it comes to storing DNA, there are several options. Generally, it is agreed that temperatures below 4 °C are preferable²⁵, although storage even in aqueous solutions at 4 °C should maintain stable DNA for weeks²⁶.
While one study indicated faster degradation at −20 °C versus 4 °C (exchanged samples?)²⁷, others indicate that storage at −20 °C could be preferable after lyophilization but not in aqueous solution²⁶.
Click to enlarge the adapted figure by Ivanova et al. shows the degradation dynamics at 56 degrees and room temperature for ST panel measured as PCR success (%) per plate. GF and MN refer to the isolation kit from two manufacturers while Biomatrica, Trehalose and PVA are storage conditions.
Overall, −20 °C seems to be a safe option in most cases23,28 especially for storage under 5 years²¹.
Also, dried (lyophilized), DNA is extremely stable, with a plasmid loss of less than 10% even after 5 weeks of storage at RT²⁹.
However, for long-term storage, protecting it from humidity and oxygen seems essential (e.g., specially prepared glass vials)³⁰.
Trehalose-based approaches seem at least as successful as ultra-low temperature storage³¹²¹. There were also glycerol-based approaches described that enhance DNA stability²⁸.
New Innovations
In a previous lesson, we saw three publications indicating that storage at −70 °C is as safe as −80 °C.
However, there are now several innovations that can help you store DNA and RNA at RT.
These include freeze-drying instruments³² and special storage shells¹⁹ among others.
Indeed, some approaches labs can conduct themselves, such as TMSO-based embedding (microwave-assisted for resource-challenged and field applications)³³.
Also easy to use commercial solutions³⁴ are available with some even embedding DNA into fibrous materials (membranes)³⁵.
Of course, stability-enhancing embeddings36,37 or storage shells⁷ are also available for RNA.
Even solutions for tissue storage exist38.
Applying The Knowledge
In essence, both RNA and DNA are stable at room temperature for several minutes to hours.
Noticeably, when we isolate DNA or RNA with kits, these normally provide favorable pH and ion conditions.
Similarly, for downstream applications, we normally store our genetic material in proper conditions, as even within cells/physiological conditions we find pHs around 7.4.
Therefore, practices like setting PCR holding temperatures above 4 °C do not increase the risk of DNA loss. I.e., DNA is also not degrading even overnight at RT. And freezer temperatures can be adapted too.
Given these discussions, we can see that if DNA is likely stable at –20 °C, we can safely increase the storage temperature to –70 °C instead of keeping samples at –80 °C. For RNA, year-long term storage seems best at −70 °C too. However, when tissues or cells are involved that require storage in liquid nitrogen, there is little room for change. These data are taken from Farley et al. "Efficient ULT freezer storage"
Probably, the anxiety around DNA and RNA integrity comes from two sources:
To some extent from marketing initiatives but
To a much larger extent from variations in procedures themselves. In other words, it is the variation in our extraction or experimental procedures (which we cannot readily assess) that we project onto things like storage.
Newer options like summarized by Coudy,et al.39 such as stabilization matrices or shells seem viable but probably make sense only if applied on a larger scale.
Finally, you can try out Trehalose or similar approaches yourself to test their feasibility if you want to store at RT.
Upcoming Lesson:
ULT Freezer Storage
How We Feel Today
References
Today, I included some website among the references to align with the numeration in the main article:
Twist Bioscience, Room Temperature Stability – RNA Controls. Available at: https://www.twistbioscience.com/blog/science/Room-Temperature-Stability-RNA-Controls
AAT Bioquest, How long is RNA stable at room temperature? Available at: https://www.aatbio.com/resources/faq-frequently-asked-questions/How-long-is-RNA-stable-at-room-temperature
Chheda, U., et al., 2024. Factors Affecting Stability of RNA – Temperature, Length, Concentration, pH, and Buffering Species. Journal of Pharmaceutical Sciences, 113(2), 377–385. doi:10.1016/j.xphs.2023.11.023.
Li, Y., et al., 1999. Kinetics of RNA Degradation by Specific Base Catalysis of Transesterification Involving the 2‘-Hydroxyl Group. Journal of the American Chemical Society, 121(23), 5364–5372. doi:10.1021/ja990592p.
Zhang, K., et al., 2021. Duplex Structure of Double-Stranded RNA Provides Stability against Hydrolysis Relative to Single-Stranded RNA. Environmental Science & Technology, 55(12), 8045–8053. doi:10.1021/acs.est.1c01255.
Chheda, U., et al., 2024. Factors Affecting Stability of RNA – Temperature, Length, Concentration, pH, and Buffering Species. Journal of Pharmaceutical Sciences, 113(2), 377–385. doi:10.1016/j.xphs.2023.11.023.
Fabre, A.L., et al., 2014. An efficient method for long-term room temperature storage of RNA. European Journal of Human Genetics, 22, 379–385. doi:10.1038/ejhg.2013.145.
Somiari, S.B., et al., 2022. Assessing the quality of RNA isolated from human breast tissue after ambient room temperature exposure. PLOS ONE, 17(1), e0262654. doi:10.1371/journal.pone.0262654.
Rudloff, U., et al., 2010. Biobanking of human pancreas cancer tissue: impact of ex-vivo procurement times on RNA quality. Annals of Surgical Oncology, 17(8), 2229–2236. doi:10.1245/s10434-010-0959-6.
Jewell, S.D., et al., 2002. Analysis of the Molecular Quality of Human Tissues. American Journal of Clinical Pathology, 118(5), 733–741. doi:10.1309/vpql-rt21-x7yh-xdxk.
Wang, C., et al., 2022. Factors influencing degradation kinetics of mRNAs and half-lives of microRNAs, circRNAs, lncRNAs in blood in vitro using quantitative PCR. Scientific Reports, 12, 7259. doi:10.1038/s41598-022-11339-w.
Potužník, J.F., et al., 2024. If the 5' cap fits (wear it) – Non-canonical RNA capping. RNA Biology, 21(1), 1–13. doi:10.1080/15476286.2024.2372138.
AbouHaidar, M.G., et al., 1999. Non-Enzymatic RNA Hydrolysis Promoted by the Combined Catalytic Activity of Buffers and Magnesium Ions. Zeitschrift für Naturforschung C, 54(7–8), 542–548. doi:10.1515/znc-1999-7-813.
White, J.M.P., et al., 2024. Integrity of RNA in long-term-stored cervical liquid-based cytology samples: implications for biomarker research. BioTechniques, 76(6), 245–253. doi:10.2144/btn-2023-0112.
Jones, K.L., et al., 2007. Long-term storage of DNA-free RNA for use in vaccine studies. BioTechniques, 43(5), 675–681. doi:10.2144/000112593.
Wang, Z., et al., 2024. Assessing the impact of long-term storage on the quality and integrity of biological specimens in a reproductive biobank. Bioengineering & Translational Medicine, 9(6), e10692. doi:10.1002/btm2.10692.
Stephenson, N.L., et al., 2020. Quality assessment of RNA in long-term storage: The All Our Families biorepository. PLOS ONE, 15(12), e0242404. doi:10.1371/journal.pone.0242404.
BioChain, Room-Temperature RNA Application Note. Available at: https://www.biochain.com/wp/wp-content/uploads/resources/room-temp-rna-app-note-(a-210422).pdf
Coudy, D., et al., 2021. Long term conservation of DNA at ambient temperature: Implications for DNA data storage. PLOS ONE, 16(11), e0259868. doi:10.1371/journal.pone.0259868.
Matange, K., et al., 2021. DNA stability: a central design consideration for DNA data storage systems. Nature Communications, 12, 1358. doi:10.1038/s41467-021-21587-5.
Ivanova, N.V., et al., 2013. Protocols for dry DNA storage and shipment at room temperature. Molecular Ecology Resources, 13(5), 890–898. doi:10.1111/1755-0998.12134.
Resistomap, n.d. Insights into DNA stability. https://www.resistomap.com/post/insights-into-dna-stability-1
Bharathi, A., et al., 2009. DNA Stability at 4, –20, –80°C (ISBER 2009). https://sustain.ubc.ca/sites/default/files/DNA%20Stability%20at%204%2C%20-20%2C%20-80%20ISBER2009_Bharathi.pdf
Madisen, L., et al., 1987. DNA banking: the effects of storage of blood and isolated DNA on the integrity of DNA. Am. J. Med. Genet., 27(2), 379–390. doi:10.1002/ajmg.1320270216.
Dhanasekaran, S., et al., 2010. Comparison of different standards for real-time PCR-based absolute quantification. J. Immunol. Methods, 354(1–2), 34–39. doi:10.1016/j.jim.2010.01.004.
Podivinsky, E., et al., 2009. Effect of storage regime on the stability of DNA used as a calibration standard for real-time polymerase chain reaction. Anal. Biochem., 394(1), 132–134. doi:10.1016/j.ab.2009.06.024.
Röder, B., et al., 2010. Impact of long-term storage on stability of standard DNA for nucleic acid-based methods. J. Clin. Microbiol., 48. https://doi.org/10.1128/jcm.01230-10
Colotte, M., et al., 2011. Adverse effect of air exposure on the stability of DNA stored at room temperature. Biopreserv. Biobank, 9(1), 47–50. doi:10.1089/bio.2010.0028.
Bonnet, J., et al., 2010. Chain and conformation stability of solid-state DNA: implications for room temperature storage. Nucleic Acids Res., 38(5), 1531–1546. https://doi.org/10.1093/nar/gkp1060
Optimal Storage Conditions for Highly Dilute DNA, n.d. https://dl.astm.org/jofs/article-abstract/50/5/JFS2004411/10567/Optimal-Storage-Conditions-for-Highly-Dilute-DNA?redirectedFrom=fulltext
DNA Preservation and Storage at Room Temperature, n.d. https://300k.bio/wp-content/uploads/2022/11/DNA-Preservation-and-Storage-at-Room-Temperature-.pdf
Narvaez Villarrubia, C.W., et al., 2022. Long-term stabilization of DNA at room temperature using a one-step microwave assisted process. Emergent Mater., 5, 307–314. https://doi.org/10.1007/s42247-021-00208-3
Lee, S.B., et al., 2012. Assessing a novel room temperature DNA storage medium for forensic biological samples. Forensic Sci. Int. Genet., 6(1), 31–40. doi:10.1016/j.fsigen.2011.01.008.
Room Temperature DNA Storage Solutions (Biocompare), n.d. https://www.biocompare.com/Editorial-Articles/152844-Free-Up-Your-Freezer-with-These-Room-Temperature-DNA-Storage-Solutions/
Seelenfreund, E., et al., 2014. Long term storage of dry versus frozen RNA for next generation molecular studies. PLOS ONE, 9(11), e111827. https://doi.org/10.1371/journal.pone.0111827
Hernandez, G.E., et al., 2009. Assessing a novel room-temperature RNA storage medium for compatibility in microarray gene expression analysis. Biotechniques, 47(2), 667–670. doi:10.2144/000113209.
Coudy, D., et al., 2021. Long-term conservation of DNA at ambient temperature: implications for DNA data storage. PLOS ONE, 16(11), e0259868. doi:10.1371/journal.pone.0259868.
If you have a wish or a question, feel free to reply to this Email. Otherwise, wish you a beautiful week! See you again on the 27th : )
Edited by Patrick Penndorf Connection@ReAdvance.com Lutherstraße 159, 07743, Jena, Thuringia, Germany Data Protection & Impressum If you think we do a bad job: Unsubscribe
Personal Note From Patrick, The Editor Hi Reader, have you ever changed a running system? It’s not a good idea. I've never done it in research, but I’ve unfortunately done it outside of it. However, changing the system at the right time is one of the best ideas - and this subtle difference is important. Let’s find out how to drive change safely and why it’s more a question of tactics than science: Today's Lesson: How To Drive Change Safely Tactics and insights on how to make processes greener...
Personal Note From Patrick, The Editor Hi Reader, what temperature are your freezers set to? Most often, there is concern about setting freezers to -70°C. One argument is power outages - however, this only gives you 2–4 hours until a -80°C freezer reaches -70°C. The other major concern is sample degradation... Let’s discover what the literature says: Today's Lesson: Is Storage at -70°C Safe? Reviewing the literature on low temperature storage Number Of The Day If you set your freezer from -80...
Personal Note From Patrick, The Editor Hi Reader, as you might know, I work as a sustainability advisor. I’m hired by institutes, companies, and universities to help make their research labs more sustainable. Why? Because it also saves time, enables new solutions, and signals top-down commitment. However, another crucial point is that I have a sense of which innovations are valid and which deceptive. Therefore, I want to help you understand a topic that no one else really talks about: Today's...